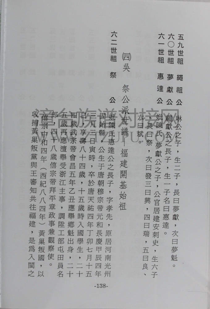
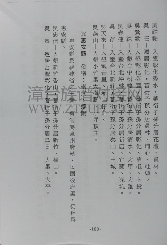
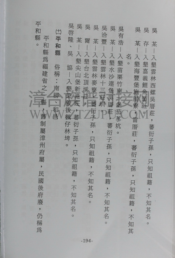
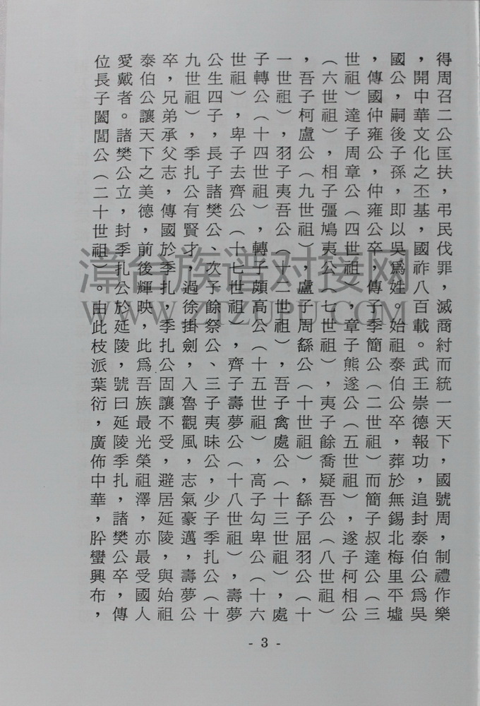
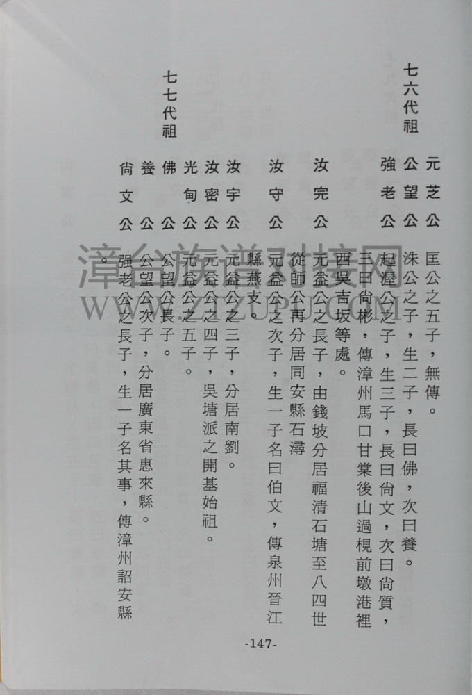
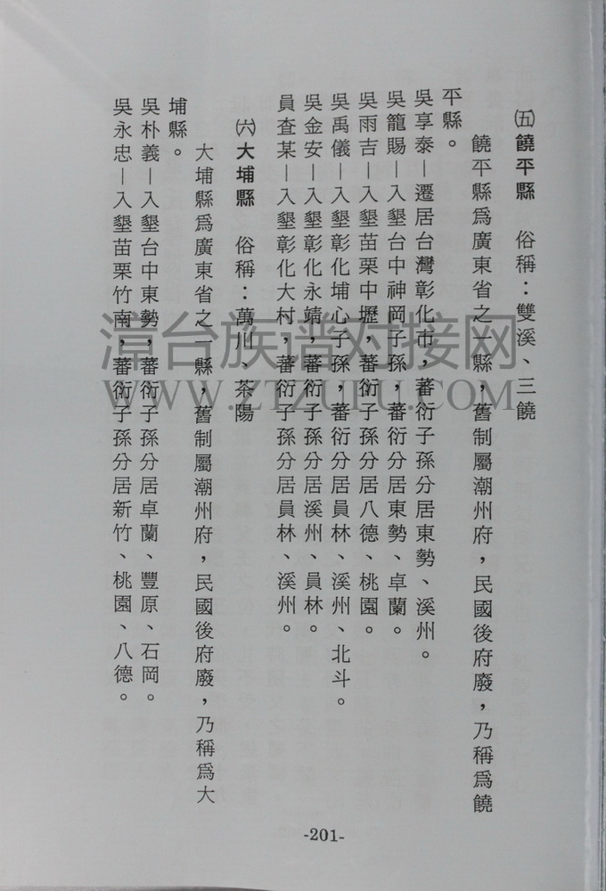
关闭

缩小

缩放

放大

隐藏